Propeller Efficiency Is The Ratio Of . a propeller accelerates the air of density ρ ρ which is flowing through the propeller disc of diameter dp d p. Understand the nomenclature, performance, and efficiency of propellers. Outside of these values the propeller efficiency decreases. From this, we can see that, for a. learn how to choose and analyze marine propellers for surface ships and underwater vehicles. if we know the engine power, speed of the plane and the thrust of its propeller, what is the correct method, (1) or (2), for calculating the efficiency of the propeller? generic propeller efficiency vs advance ratio. This can be idealized as a stream tube going through. the propulsive efficiency is the ratio of effective horsepower to shaft horsepower, therefore allowing the designer to make a direct determination of the shaft horsepower required to.
from aviation.stackexchange.com
a propeller accelerates the air of density ρ ρ which is flowing through the propeller disc of diameter dp d p. if we know the engine power, speed of the plane and the thrust of its propeller, what is the correct method, (1) or (2), for calculating the efficiency of the propeller? learn how to choose and analyze marine propellers for surface ships and underwater vehicles. This can be idealized as a stream tube going through. the propulsive efficiency is the ratio of effective horsepower to shaft horsepower, therefore allowing the designer to make a direct determination of the shaft horsepower required to. generic propeller efficiency vs advance ratio. Understand the nomenclature, performance, and efficiency of propellers. From this, we can see that, for a. Outside of these values the propeller efficiency decreases.
aerodynamics On a constant speed propeller, how is blade pitch related to airspeed and
Propeller Efficiency Is The Ratio Of if we know the engine power, speed of the plane and the thrust of its propeller, what is the correct method, (1) or (2), for calculating the efficiency of the propeller? From this, we can see that, for a. learn how to choose and analyze marine propellers for surface ships and underwater vehicles. Outside of these values the propeller efficiency decreases. if we know the engine power, speed of the plane and the thrust of its propeller, what is the correct method, (1) or (2), for calculating the efficiency of the propeller? the propulsive efficiency is the ratio of effective horsepower to shaft horsepower, therefore allowing the designer to make a direct determination of the shaft horsepower required to. generic propeller efficiency vs advance ratio. This can be idealized as a stream tube going through. Understand the nomenclature, performance, and efficiency of propellers. a propeller accelerates the air of density ρ ρ which is flowing through the propeller disc of diameter dp d p.
From cesreeuv.blob.core.windows.net
Propeller Efficiency Is Defined As at Eugene Creech blog Propeller Efficiency Is The Ratio Of a propeller accelerates the air of density ρ ρ which is flowing through the propeller disc of diameter dp d p. This can be idealized as a stream tube going through. the propulsive efficiency is the ratio of effective horsepower to shaft horsepower, therefore allowing the designer to make a direct determination of the shaft horsepower required to.. Propeller Efficiency Is The Ratio Of.
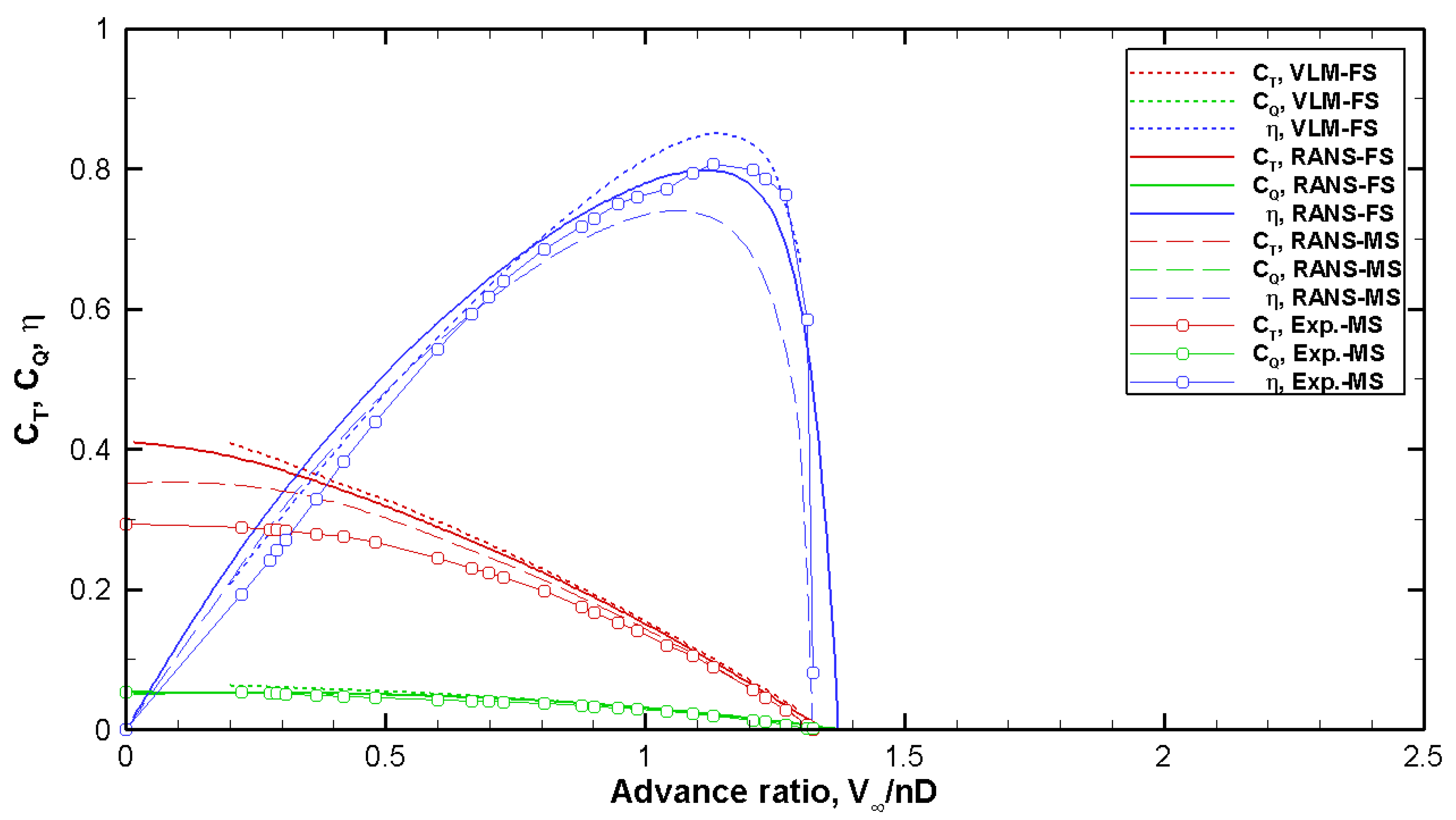
From www.researchgate.net
Diagram of the efficiency of the propeller used in measurements as a... Download Scientific Propeller Efficiency Is The Ratio Of the propulsive efficiency is the ratio of effective horsepower to shaft horsepower, therefore allowing the designer to make a direct determination of the shaft horsepower required to. learn how to choose and analyze marine propellers for surface ships and underwater vehicles. This can be idealized as a stream tube going through. if we know the engine power,. Propeller Efficiency Is The Ratio Of.
From dxohmtoii.blob.core.windows.net
Meaning Propeller Efficiency at James Miers blog Propeller Efficiency Is The Ratio Of learn how to choose and analyze marine propellers for surface ships and underwater vehicles. a propeller accelerates the air of density ρ ρ which is flowing through the propeller disc of diameter dp d p. the propulsive efficiency is the ratio of effective horsepower to shaft horsepower, therefore allowing the designer to make a direct determination of. Propeller Efficiency Is The Ratio Of.
From www.mdpi.com
Energies Free FullText Improve Ship Propeller Efficiency via Optimum Design of Propeller Propeller Efficiency Is The Ratio Of From this, we can see that, for a. Understand the nomenclature, performance, and efficiency of propellers. the propulsive efficiency is the ratio of effective horsepower to shaft horsepower, therefore allowing the designer to make a direct determination of the shaft horsepower required to. a propeller accelerates the air of density ρ ρ which is flowing through the propeller. Propeller Efficiency Is The Ratio Of.
From www.researchgate.net
Diagram of the efficiency of the propeller used in measurements as a... Download Scientific Propeller Efficiency Is The Ratio Of learn how to choose and analyze marine propellers for surface ships and underwater vehicles. From this, we can see that, for a. a propeller accelerates the air of density ρ ρ which is flowing through the propeller disc of diameter dp d p. generic propeller efficiency vs advance ratio. This can be idealized as a stream tube. Propeller Efficiency Is The Ratio Of.
From aviation.stackexchange.com
aerodynamics On a constant speed propeller, how is blade pitch related to airspeed and Propeller Efficiency Is The Ratio Of learn how to choose and analyze marine propellers for surface ships and underwater vehicles. Understand the nomenclature, performance, and efficiency of propellers. This can be idealized as a stream tube going through. Outside of these values the propeller efficiency decreases. From this, we can see that, for a. the propulsive efficiency is the ratio of effective horsepower to. Propeller Efficiency Is The Ratio Of.
From www.researchgate.net
CW and CCW propeller propulsive efficiency η p variation with advance... Download Scientific Propeller Efficiency Is The Ratio Of generic propeller efficiency vs advance ratio. a propeller accelerates the air of density ρ ρ which is flowing through the propeller disc of diameter dp d p. This can be idealized as a stream tube going through. the propulsive efficiency is the ratio of effective horsepower to shaft horsepower, therefore allowing the designer to make a direct. Propeller Efficiency Is The Ratio Of.
From www.researchgate.net
Propeller efficiency, thrust and torque coefficients as functions of... Download Scientific Propeller Efficiency Is The Ratio Of This can be idealized as a stream tube going through. the propulsive efficiency is the ratio of effective horsepower to shaft horsepower, therefore allowing the designer to make a direct determination of the shaft horsepower required to. learn how to choose and analyze marine propellers for surface ships and underwater vehicles. a propeller accelerates the air of. Propeller Efficiency Is The Ratio Of.
From www.mdpi.com
Aerospace Free FullText A Study on the Scale Effect According to the Reynolds Number in Propeller Efficiency Is The Ratio Of From this, we can see that, for a. if we know the engine power, speed of the plane and the thrust of its propeller, what is the correct method, (1) or (2), for calculating the efficiency of the propeller? Outside of these values the propeller efficiency decreases. This can be idealized as a stream tube going through. learn. Propeller Efficiency Is The Ratio Of.
From www.slideserve.com
PPT ConstantSpeed Propeller Systems PowerPoint Presentation ID1259249 Propeller Efficiency Is The Ratio Of a propeller accelerates the air of density ρ ρ which is flowing through the propeller disc of diameter dp d p. learn how to choose and analyze marine propellers for surface ships and underwater vehicles. From this, we can see that, for a. if we know the engine power, speed of the plane and the thrust of. Propeller Efficiency Is The Ratio Of.
From www.researchgate.net
Curves of propeller efficiency at different altitudes. Download Scientific Diagram Propeller Efficiency Is The Ratio Of if we know the engine power, speed of the plane and the thrust of its propeller, what is the correct method, (1) or (2), for calculating the efficiency of the propeller? the propulsive efficiency is the ratio of effective horsepower to shaft horsepower, therefore allowing the designer to make a direct determination of the shaft horsepower required to.. Propeller Efficiency Is The Ratio Of.
From www.slideserve.com
PPT Propulsion PDR PowerPoint Presentation, free download ID3958221 Propeller Efficiency Is The Ratio Of Understand the nomenclature, performance, and efficiency of propellers. if we know the engine power, speed of the plane and the thrust of its propeller, what is the correct method, (1) or (2), for calculating the efficiency of the propeller? the propulsive efficiency is the ratio of effective horsepower to shaft horsepower, therefore allowing the designer to make a. Propeller Efficiency Is The Ratio Of.
From present5.com
AER 710 Aerospace Propulsion Introduction Propellers Internal Combustion Propeller Efficiency Is The Ratio Of From this, we can see that, for a. learn how to choose and analyze marine propellers for surface ships and underwater vehicles. generic propeller efficiency vs advance ratio. if we know the engine power, speed of the plane and the thrust of its propeller, what is the correct method, (1) or (2), for calculating the efficiency of. Propeller Efficiency Is The Ratio Of.
From www.researchgate.net
Propeller efficiency with respect to advance ratio and measurement... Download Scientific Diagram Propeller Efficiency Is The Ratio Of generic propeller efficiency vs advance ratio. the propulsive efficiency is the ratio of effective horsepower to shaft horsepower, therefore allowing the designer to make a direct determination of the shaft horsepower required to. Understand the nomenclature, performance, and efficiency of propellers. Outside of these values the propeller efficiency decreases. This can be idealized as a stream tube going. Propeller Efficiency Is The Ratio Of.
From www.researchgate.net
Propeller Efficiency Per Advance Ratio [14] Download Scientific Diagram Propeller Efficiency Is The Ratio Of the propulsive efficiency is the ratio of effective horsepower to shaft horsepower, therefore allowing the designer to make a direct determination of the shaft horsepower required to. generic propeller efficiency vs advance ratio. a propeller accelerates the air of density ρ ρ which is flowing through the propeller disc of diameter dp d p. From this, we. Propeller Efficiency Is The Ratio Of.
From www.researchgate.net
Thrust coefficient cT v/s advance ratio for the selected propeller. Download Scientific Diagram Propeller Efficiency Is The Ratio Of This can be idealized as a stream tube going through. Outside of these values the propeller efficiency decreases. generic propeller efficiency vs advance ratio. a propeller accelerates the air of density ρ ρ which is flowing through the propeller disc of diameter dp d p. the propulsive efficiency is the ratio of effective horsepower to shaft horsepower,. Propeller Efficiency Is The Ratio Of.
From www.mdpi.com
JMSE Free FullText Design of Propeller Series Optimizing Fuel Consumption and Propeller Propeller Efficiency Is The Ratio Of Outside of these values the propeller efficiency decreases. generic propeller efficiency vs advance ratio. This can be idealized as a stream tube going through. if we know the engine power, speed of the plane and the thrust of its propeller, what is the correct method, (1) or (2), for calculating the efficiency of the propeller? From this, we. Propeller Efficiency Is The Ratio Of.
From www.marineinsight.com
10 Factors Considered For Efficient Ship Propeller Design Propeller Efficiency Is The Ratio Of a propeller accelerates the air of density ρ ρ which is flowing through the propeller disc of diameter dp d p. if we know the engine power, speed of the plane and the thrust of its propeller, what is the correct method, (1) or (2), for calculating the efficiency of the propeller? Understand the nomenclature, performance, and efficiency. Propeller Efficiency Is The Ratio Of.